|
|
|
OFF: ЕГЭ по математике, задача с параметром ↓ (Волшебник 27.05.2025 12:35) |
☑ | ||
|---|---|---|---|---|
|
0
Волшебник
27.05.25
✎
11:24
|
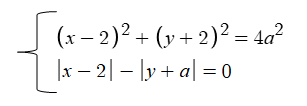
При каких значениях параметра система уравнений имеет единственное решение?
![]() |
|||
|
1
RomanYS
27.05.25
✎
11:43
|
Сверху окружность, снизу крест... надо рисовать)
|
|||
|
2
Волшебник
27.05.25
✎
11:49
|
(1) Мыслите в правильном направлении!
|
|||
|
3
RomanYS
27.05.25
✎
11:53
|
(1) ... относительно x=2 всё симметрично, значит касания (крестом окружности) могут быть только парными.
Остается вырожденный случай а=0, но он тоже не подходит. Ответ никогда |
|||
|
4
Волшебник
27.05.25
✎
11:56
|
(3) 👍 Гениально! И это правильный ответ!
|
|||
|
5
Волшебник
27.05.25
✎
11:56
|
Графическое решение: https://www.desmos.com/Calculator/8wa3tcqucl
слева можно подвигать ползунок параметра и посмотреть поведение графиков |
|||
|
6
Гена
гуру
27.05.25
✎
11:57
|
(1) Можно и в уме: крест всегда под 45о и его центр всегда на x=2. По a он только сдвигается вверх или вниз. Окружность же всегда по центру (2,-2) и только растёт по a.
Значит не будет такого a для единственности решения, т.к. либо мала окружность и точек пересечения с крестом нет, либо велика и точек пересечения несколько, либо касается креста, но тогда будут две точки из геометрии прямого угла, описанного около окружности. |
|||
|
7
RomanYS
27.05.25
✎
11:57
|
(0) Откуда такие приземленные темы? Годы летят, дети до ЕГЭ доросли)?
|
|||
|
8
Гена
гуру
27.05.25
✎
11:59
|
(5) О! Красиво.
|
|||
|
9
Волшебник
27.05.25
✎
12:00
|
(7) сегодня проходит ЕГЭ по математике. Поддерживаем тему
|
|||
|
10
maxab72
27.05.25
✎
12:58
|
(0) стоп, а не этот пример разбирал Максим Олегович из Школково пару дней назад на стриме? Моя внучка как раз смотрела.
|
|||
|
11
Волшебник
27.05.25
✎
13:14
|
(10) Вряд ли. Систему уравнений я сгенерировал сам
|
|||
|
12
Eiffil123
27.05.25
✎
16:05
|
а говорят ЕГЭ для тупых.
Я смотрю на ютубе разбор задач ЕГЭ по математике, и могу сказать что они достаточно сложные и интересные. А некоторые темы в мое время в школьной программе и не изучались вовсе. |
|||
|
13
Волшебник
27.05.25
✎
17:55
|
(6) гуру, чо
|
|||
|
14
maxab72
27.05.25
✎
18:23
|
(12) проблема с задачами на ЕГЭ в другом, они шаблонные, на уроках и репетиторы просто дают наборы правил, как эти шаблоны решать. А суть вопроса, почему эта формула работает в этом случае, а в другом нет - ученики часто не понимают. Те устные вступительные экзамены в ВУЗы были хороши тем, что ты напрямую общался с преподавателем, и он мог доп. вопросами тебя или вытащить, если видел, что ты тему понимаешь, но поплыл переволновавшись, или утопить, если подозревал, что ты нагло списал со шпоры. Я так на вступительном по физике в ВУЗе перепутал термины интерференция и дифракция. Но все определения дал правильно и формулы вывел. Профессор меня только в конце ответа поправил, что я термины спутал, но оценку не уменьшил.
|
|||
|
15
Волшебник
27.05.25
✎
23:12
|
(14) Как можно спутать интерференцию и дифракцию?!
|
| Форум | Правила | Описание | Объявления | Секции | Поиск | Книга знаний | Вики-миста |